显示954个结果
| 目录号 | 产品名称/详细介绍 | 结构 | 分子量 | CAS |
|---|---|---|---|---|
| NBS-230718 | DiAzK |
|
272.3 | 1253643-88-7 |
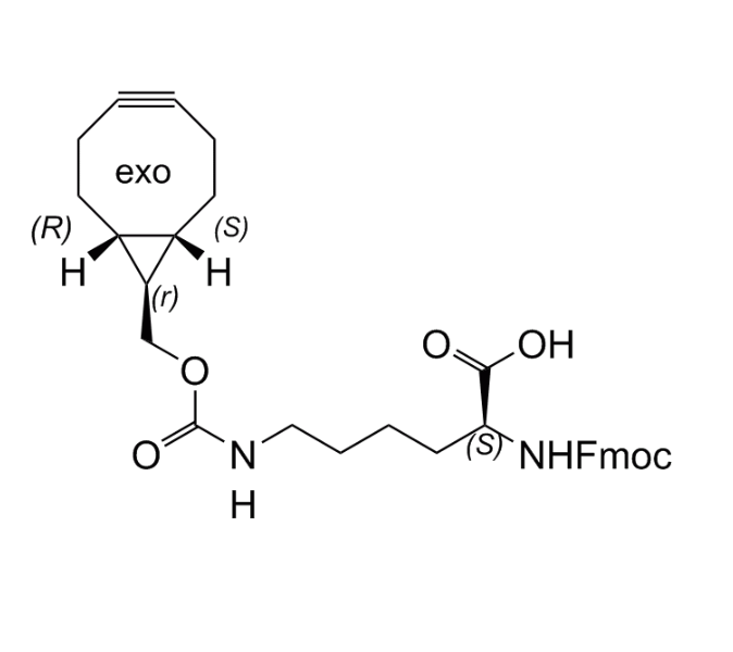
| NBS-230717 | exo-BCN-Fmoc-L-Lysine (BCN) |
|
544.65 | 1493802-76-8 |
| NBS-230716 | PrDiAzK |
|
312.33 | 2231405-64-2 |
| NBS-230715 | trans-Cyclooct-4-en-L-Lysine (EQUATORIAL) |
|
298.38 | 1380349-88-1 |