显示954个结果
| 目录号 | 产品名称/详细介绍 | 结构 | 分子量 | CAS |
|---|---|---|---|---|
| NBS-231282 | 1,2:5,6-Di-O-isopropylidene-D-mannitol |
|
262.31 | 1707-77-3 |
| NBS-231281 | 1,2:5,6-Di-O-isopropylidene-α-D-glucofuranose |
|
260.29 | 582-52-5 |
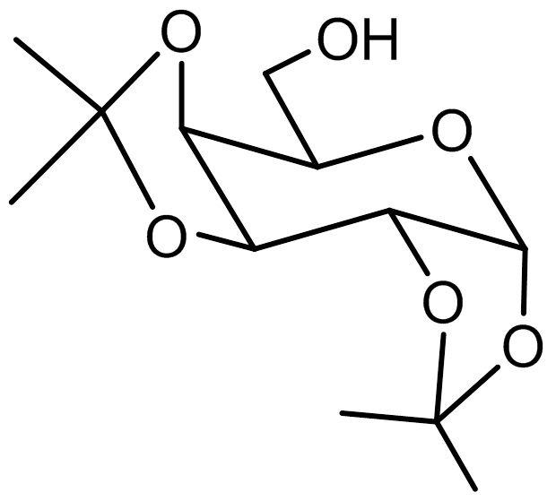
| NBS-231280 | 1,2,3,4-Di-O-isopropylidene-α-D-galactopyranose |
|
260.29 | 4064-06-6 |
| NBS-231279 | 1,4:3,6-Dianhydro-D-mannitol |
|
146.15 | 641-74-7 |
| NBS-231278 | 3,4-Di-O-acetyl-L-rhamnal |
|
214.22 | 34819-86-8 |
| NBS-231277 | 6-Deoxy-1,2:3,4-di-O-isopropylidene-α-D-galactopyranose |
|
244.29 | 4026-27-1 |
| NBS-231276 | Cellobiose |
|
342.3 | 528-50-7 |
| NBS-231275 | Benzyl α-D-mannopyranoside |
|
270.28 | 155548-45-5 |
| NBS-231274 | Benzyl 2-acetamido-2-deoxy-α-D-glucopyranoside |
|
311.34 | 13343-62-9 |
| NBS-231273 | Benzyl 4,6-O-benzylidene-α-D-GlcNAc |
|
399.45 | 13343-63-0 |