显示954个结果
| 目录号 | 产品名称/详细介绍 | 结构 | 分子量 | CAS |
|---|---|---|---|---|
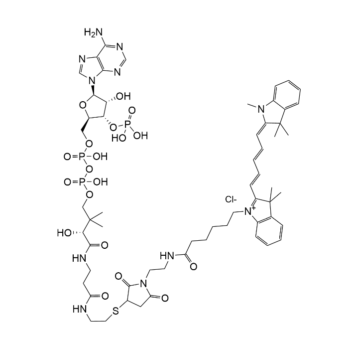
| NBS-231142 | CoA-Cy3 |
|
1347.3 | N/A |
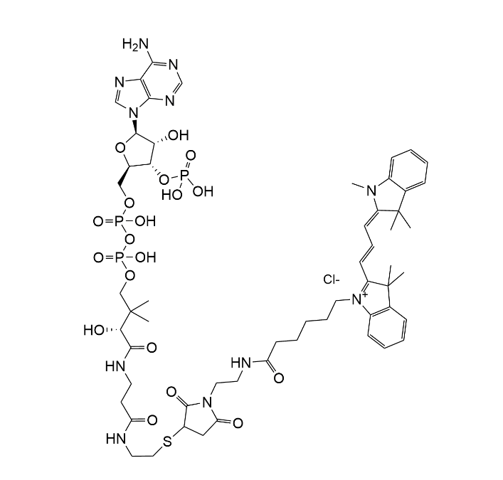
| NBS-231141 | CoA-Cy5 |
|
1373.34 | N/A |
| NBS-231140 | NOTA-Evans Blue / NEB |
|
827.88 | N/A |
| NBS-231139 | Ethyl 2-methyl-3-(trimethylsilyl)cycloprop-2-ene-1-carboxylate |
|
198.34 | 33002-26-5 |
| NBS-231138 | Di-benzyl chloromethyl phosphate |
|
326.71 | 258516-84-6 |
| NBS-231137 | Di-tert-butyl chloromethyl phosphate |
|
258.68 | 229625-50-7 |
| NBS-231136 | Phosphoramidous acid. N.N-bis(1-methylethyl)-. bis(9H-fluoren-9-ylmethyl) ester |
|
521.63 | 197709-11-8 |
| NBS-231135 | Dichloro N,N-Diisopropylphosphoramidite |
|
202.06 | 921-26-6 |
| NBS-231134 | Phosphoramidous acid. N.N-bis(1-methylethyl)-. 2-cyanoethyl [1-(2-nitrophenyl)ethyl] ester) |
|
367.37 | 461425-49-0 |
| NBS-231133 | Phosphorodiamidous acid. N.N.N'.N'-tetrakis(1-methylethyl)-. phenylmethyl ester |
|
338.46 | 108549-21-9 |